2024届河北省唐山市高三下学期二模化学答案

文/暖心话

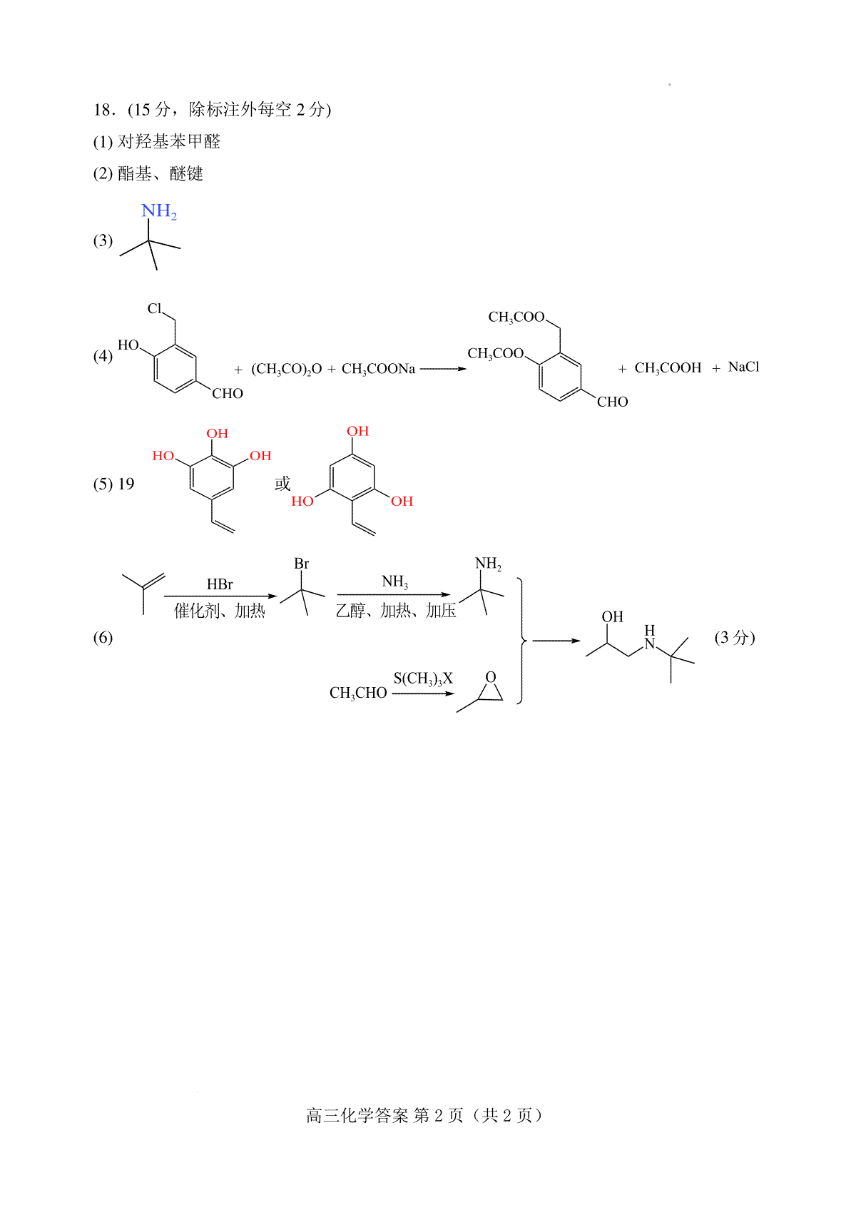
2024届河北省唐山市高三下学期二模化学答案于近期开考,本次考试对考生对知识的掌握参考价值大,为了方便大家复习掌握错题!小编在下文为大家准备了2024届河北省唐山市高三下学期二模化学答案试卷及答案解析详情,仅供考生参考。

如果你想下载2024届河北省唐山市高三下学期二模化学答案DOC或PDF版,请点击本文末链接!

一、2024届河北省唐山市高三下学期二模化学答案

下载2024届河北省唐山市高三下学期二模化学答案PDF格式或doc

小编推荐

1.2024届河北省唐山市高三下学期二模化学答案

2.2024届河北省唐山市高三下学期二模地理

3.2024届河北省唐山市高三下学期二模地理答案

4.2024届河北省唐山二模语文参考答案

5.2024届河北省唐山二模物理试题

6.2024届河北省唐山二模物理参考答案

7.2024届河北省唐山二模历史参考答案

8.2024届河北省唐山二模数学参考答案

一键复制全文保存为WORD

猜你喜欢

2024百师联盟届高三二轮复习联考二物理答案

24-04-28

福建福州市2024高三4月末质检数学试题及答案解析

24-04-27

福建福州市2024高三4月末质检语文试题及答案解析

24-04-27

2024福建福州市高三4月末质检各科试题及答案汇总

24-04-27

2024福建福州市高三4月末质检各科试题及答案汇总

24-04-27

湖北武汉市2024高三4月四调地理试题及答案解析

24-04-27

公费师范工资待遇如何 能维持基本生活吗

24-04-27

湖北武汉市2024高三4月四调化学试题及答案解析

24-04-27