广西三新学术联盟2023-2024学年高三上学期11月联考数学试题于近期开考,本次考试对考生对知识的掌握参考价值大,为了方便大家复习掌握错题!小编在下文为大家准备了广西三新学术联盟2023-2024学年高三上学期11月联考数学试题试卷及答案解析详情,仅供考生参考。
如果你想下载广西三新学术联盟2023-2024学年高三上学期11月联考数学试题DOC或PDF版,请点击本文末链接!
一、广西三新学术联盟2023-2024学年高三上学期11月联考数学试题

















1.广西三新学术联盟2023-2024学年高三上学期11月联考数学试题
2.广西壮族自治区三新学术联盟2023-2024学年高三上学期11月联考语文答案
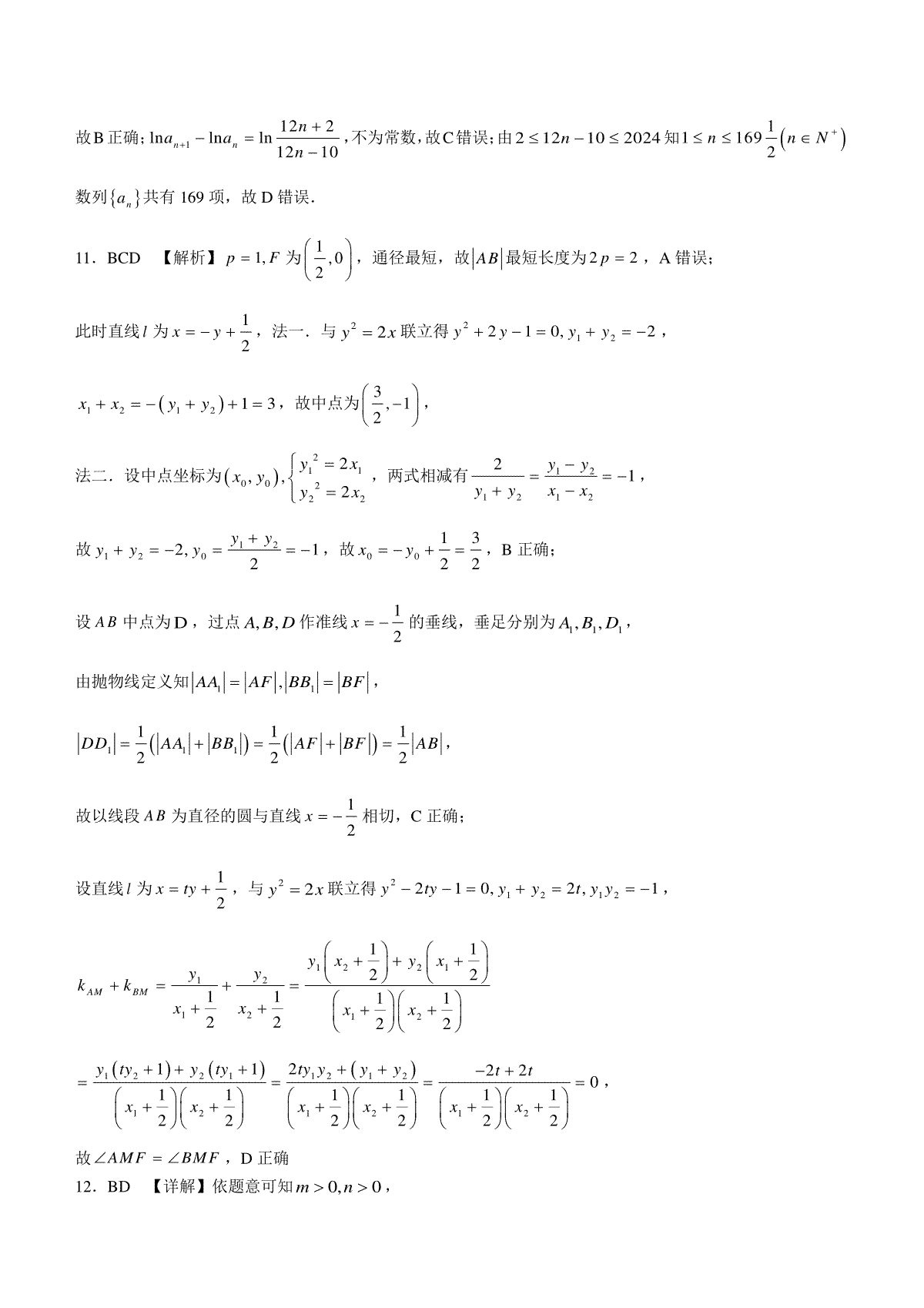
3.广西三新学术联盟2023-2024学年高三上学期11月联考物理试题