2023山西太原二模数学答案于近期开考,本次考试对考生对知识的掌握参考价值大,为了方便大家复习掌握错题!小编在下文为大家准备了2023山西太原二模数学答案试卷及答案解析详情,仅供考生参考。
如果你想下载2023山西太原二模数学答案DOC或PDF版,请点击本文末链接!
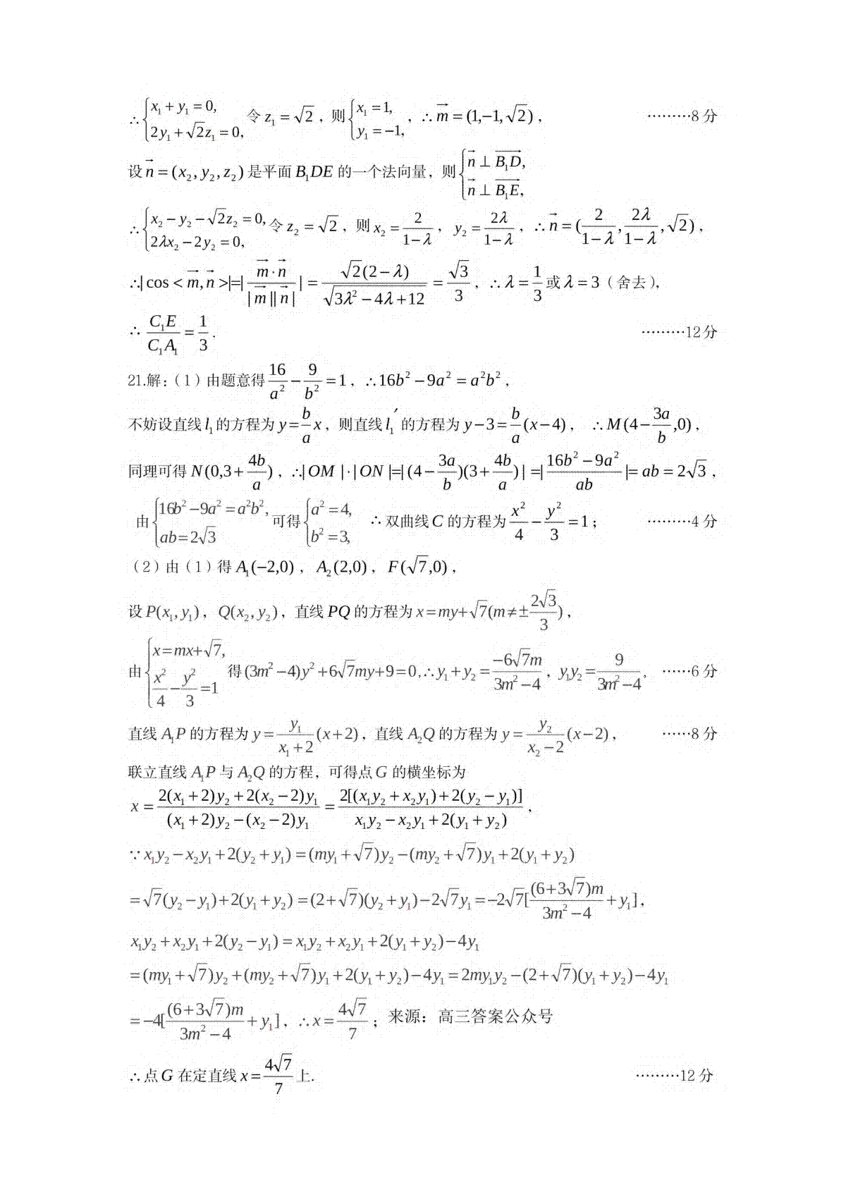
一、2023山西太原二模数学答案




3.外研版九年级英语下册 Module8 Unit2 学案(无答案)
4.外研版九年级英语下册 Module8 Unit1 学案(无答案)
5.外研版九年级英语下册 Module7 Unit3 学案(无答案)
6.外研版九年级英语下册 Module7 Unit2 学案(无答案)
7.外研版九年级英语下册 Module7 Unit1 学案(无答案)
8.外研版九年级英语下册 Module6 Unit3 学案(无答案)