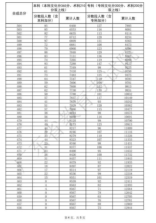
广东2025高考体育类一分一段表已经公布,其中640分累计人数是26人;636分累计人数是44人;634分累计人数是52人;629分累计人数是81人;622分累计人数是132人,以下是小编整理的详细内容,大家可以看一看。

广东2025高考体育类一分一段表如下:





在使用一分一段表时,应该对比近三年来的“一分一段”表,而不是单一使用某一年的一分一段表。看看所想要填报的大学连续三四年的最低录取分数线在哪个段位(即高出所在批次多少分),若自己的分数比至少两年的段位高,那报考该校把握较大。
考生在对照高校往年录取分数线时,应以对比人数位次为主,若所在位次高于往年该校在本省录取分数位次,则说明报考有希望。
以考生位次为4462为例,假如某所大学的历年招生位次区间是4000-10000,那么考生的位次处于这所大学位次区间的上部,这所大学可以作为保底院校。
假如某所大学的历年招生位次区间是2000-8000,那么考生的位次处于这所大学位次区间的中间,这所大学可以作为比较稳妥的院校填报。
假如某所大学的历年招生位次区间是1000-5000,那么考生的位次处于这所大学位次区间的下部,这所大学的录取可能性就比较低了,可以作为冲一冲的院校填报,当然也可以冲刺大学招生最低位次在4000左右的院校。
简单来说,如果考生的位次与院校或者专业以往几年录取分数的位次大致相当,或者就在录取考生位次范围以内,则报考这些院校或者专业把握性较大。
1.了解自己。填报志愿最关键的第一步,是在“一分一段表”中查找与自己成绩相对应的分数排名,以及这一位次的成绩共有多少考生,以此来确定个人成绩在全省市的位置。一定要参照最近三年的同分数一分一段位次,结合往年情况综合评估自己的成绩处于什么水平。
2.评估学校。查一下自己的目标院校在近三年的录取分数是多少,该院校近三年的录取分数对应当年“一分一段表”中的位置,同时,留意该院校在近年的招生人数的变化,参照今年的招生计划人数,综合判断自己今年的位置是否能够被目标院校录取。