广东省新高考普通高中学科综合素养评价数学参考答案0208

文/魂归处

广东省新高考普通高中学科综合素养评价数学参考答案0208于近期开考,本次考试对考生对知识的掌握参考价值大,为了方便大家复习掌握错题!小编在下文为大家准备了广东省新高考普通高中学科综合素养评价数学参考答案0208试卷及答案解析详情,仅供考生参考。

如果你想下载广东省新高考普通高中学科综合素养评价数学参考答案0208DOC或PDF版,请点击本文末链接!

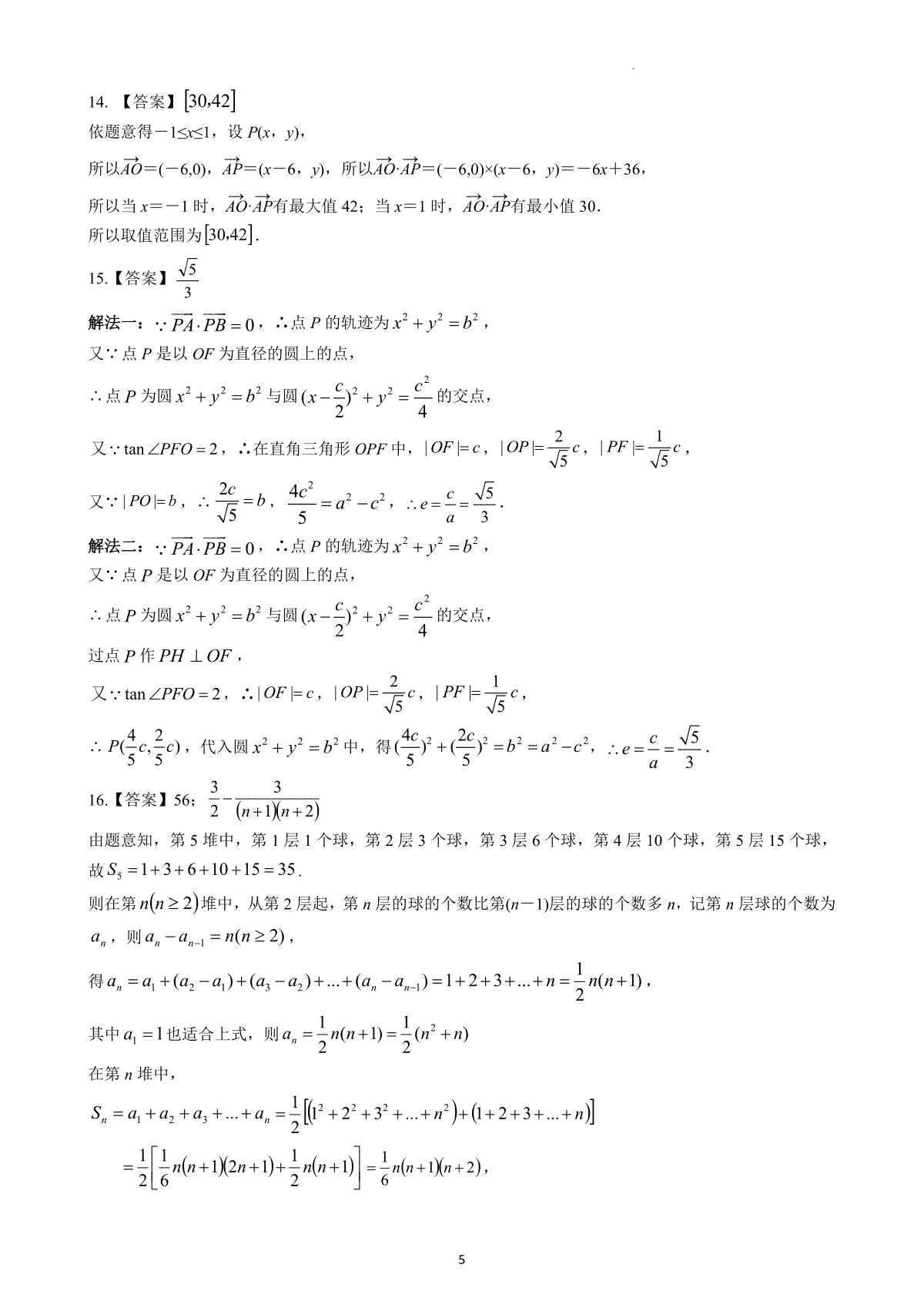
一、广东省新高考普通高中学科综合素养评价数学参考答案0208

下载广东省新高考普通高中学科综合素养评价数学参考答案0208PDF格式或doc

小编推荐

1.2020年黑龙江绥化中考历史真题及答案

2.2019年黑龙江省绥化市中考历史真题及答案

3.2018年黑龙江省绥化市中考历史试题及答案

4.2020年陕西省中考历史试题及答案

5.2019年陕西省中考历史试题及答案

6.2018年陕西省中考历史试题及答案

7.2017年陕西省中考历史试题及答案

8.2016年陕西省中考历史试题及答案

一键复制全文保存为WORD

猜你喜欢

专题22 步入近代、资本主义制度的初步确立(第01期)-2019年中考真题历史试题分项汇编(解析版)

23-04-24

专题22 步入近代、资本主义制度的初步确立(第01期)-2019年中考真题历史试题分项汇编(原卷版)

23-04-24

专题21 封建时代的欧洲和亚洲国家(第01期)-2019年中考真题历史试题分项汇编(解析版)

23-04-24

专题21 封建时代的欧洲和亚洲国家(第01期)-2019年中考真题历史试题分项汇编(原卷版)

23-04-24

专题20 古代亚非文明和欧洲文明(第01期)-2019年中考真题历史试题分项汇编(解析版)

23-04-24

专题20 古代亚非文明和欧洲文明(第01期)-2019年中考真题历史试题分项汇编(原卷版)

23-04-24

专题19 现代科技文化与社会生活(第01期)-2019年中考真题历史试题分项汇编(解析版)

23-04-24

专题19 现代科技文化与社会生活(第01期)-2019年中考真题历史试题分项汇编(原卷版)

23-04-24