2011年上海高考数学真题(文科)试卷(word解析版)

文/冯庆

2011年上海高考数学真题(文科)试卷(word解析版)于近期开考,本次考试对考生对知识的掌握参考价值大,为了方便大家复习掌握错题!小编在下文为大家准备了2011年上海高考数学真题(文科)试卷(word解析版)试卷及答案解析详情,仅供考生参考。

如果你想下载2011年上海高考数学真题(文科)试卷(word解析版)DOC或PDF版,请点击本文末链接!

一、2011年上海高考数学真题(文科)试卷(word解析版)

下载2011年上海高考数学真题(文科)试卷(word解析版)PDF格式或doc

小编推荐

1.2013年河南省中考化学试卷及答案

2.2012年河南省中考化学试卷及答案

3.2011年河南省中考化学试卷及答案

4.2010年河南省中考化学试卷及答案

5.2009年河南省中考化学试卷及答案

6.2008年河南省中考化学试卷及答案

7.江西省南昌市2013年中考化学试卷(含答案)

8.2021年江苏省镇江市中考化学真题及答案

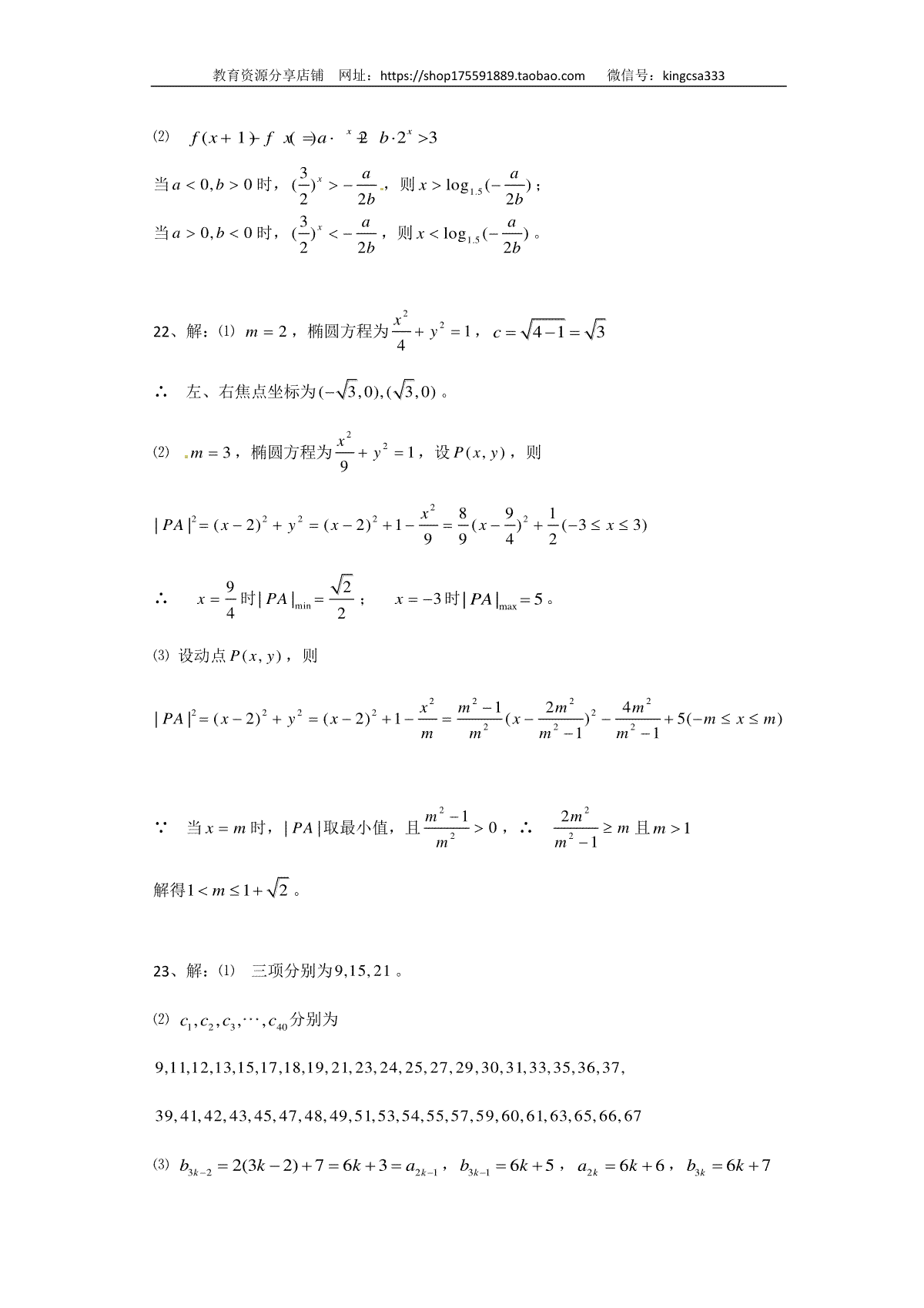
一键复制全文保存为WORD